Cu7Zn3 brass, Cu K-edge


Cite as: Timoshenko et al, Chem. Sci., 11 (2020) 3727

Download all input files
Download all output files

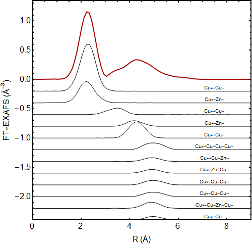
Comparison of experimental data with RMC fit results

Residual = 0.104 (R-factor = 0.011 )

Contributions of the most important paths


Structure


""
Coord.shell Coord.number Mean R (Å) MSRD (Å-2)
Cu-Zn 4.08 2.61 0.0233
Cu-Cu 7.92 2.635 0.0204
Cu-Cu 3.93 3.705 0.0185
Cu-Zn 2.07 3.712 0.0238
Cu-Zn 8.06 4.531 0.0246
Cu-Cu 15.94 4.543 0.0233
Cu-Cu 8.09 5.236 0.0253
Cu-Zn 3.91 5.239 0.0223
Cu-Cu 16.19 5.852 0.0241
Cu-Zn 7.81 5.857 0.025

© Copyright 2014-2020 Janis Timoshenko. All Rights Reserved.